Sugarcane is the lifeline of the sugar industry, but the journey from freshly cut cane to refined sugar is often disrupted by a silent intruder—dextran. Although invisible to the naked eye, dextran poses one of the most persistent challenges in sugar processing. Understanding why it forms, how it harms, and how modern enzymatic solutions overcome it is essential for every sugar producer.
What is Dextran and Why Does it Form?
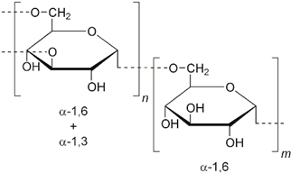
Dextran is a high molecular weight polysaccharide composed of glucose molecules linked mainly by alpha-1,6 bonds, with occasional alpha-1,3 branches. It does not exist naturally inside healthy cane. Instead, it is produced when cane is cut, stored, or delayed before crushing.
Microorganisms—especially Leuconostoc mesenteroides—use their enzyme dextransucrase to convert sucrose into dextran. Warm, humid conditions make this reaction faster. That’s why cane staling, mechanical damage, and poor field hygiene are the biggest causes of dextran formation.

Molecular Structure of Dextran
- Linear backbone: Glucose units linked via alpha-1,6 glycosidic bonds
- Branch points: Occasional alpha-1,3 linkages
- Effect: Highly branched and viscous, making juice sticky and difficult to process

Chemical Formula: H(C6H10O5)xOH
The Real-World Problems Dextran Creates for Sugar Mills
- High Juice Viscosity:Dextran increases the thickness of cane juice, making it harder to pump and transport through pipelines. This slows flow rates and raises energy consumption during processing.
- Clarification Issues:Reduced flocculation efficiency leads to turbid juice. Higher doses of lime and other chemicals are often required, yet desired clarity may not be achieved.
- Crystallization Losses:Dextran disrupts sucrose nucleation and crystal growth, resulting in irregular or fragile crystals. This decreases pan yields and increases molasses content, directly affecting sugar recovery.
- Molasses Quality Drop:Increased sucrose retention lowers the quality and recovery of final molasses.
- Boiling House Inefficiencies:Scale deposition occurs in evaporators, and reduced heat transfer results in higher steam consumption.
- Operational Stress:High-viscosity juice leads to scaling, foaming, and sediment buildup in evaporators and clarifiers. These issues increase downtime, maintenance requirements, and operational costs.
- Financial Hit:Even moderate dextran levels (~1000 ppm) can cause 3–4 kg of sugar loss per ton of cane, resulting in significant revenue loss per season.
In short, dextran doesn’t just affect science—it directly impacts efficiency, cost, and profitability.
The Enzymatic Solution
Once dextran is present, mechanical or chemical controls are not enough. The only effective way to neutralize its impact is enzymatic breakdown.
This is where specialized enzymatic products—such as those developed by The Catalysts Group—come into play.
Enzydex (Dextranase) – Breaking Down Dextran at its Core
What is Dextranase?
Dextranase is a hydrolytic enzyme that specifically targets dextran, a high-molecular-weight polysaccharide in sugarcane juice. Dextran is composed of glucose molecules linked primarily by alpha-1,6 glycosidic bonds, with occasional alpha-1,3 branch points. Its highly branched, viscous structure increases juice thickness, interferes with clarification, and disrupts sucrose crystallization.
Mechanism of Action
Dextranase selectively hydrolyzes the alpha-1,6 linkages in dextran, breaking long, sticky chains into short-chain oligosaccharides that are soluble and less viscous:

This targeted action reduces juice viscosity, prevents random sucrose degradation, and restores proper crystallization, ensuring efficient sugar recovery.
What is Enzydex?
Enzydex is a commercial formulation of dextranase, specifically developed to tackle dextran-related challenges in sugarcane mills. By harnessing the molecular action of dextranase, Enzydex rapidly reduces dextran levels, improving juice flow, clarification, and sugar recovery.
Mode of Action
Hydrolyzes the alpha-1,6 linkages in dextran, splitting the large molecules into much smaller, harmless glucose units.
Factory Benefits:
- Reduces Juice Viscosity: Improves flow through pumps and pipelines.
- Enhances Clarification and Filtration: Saves chemical costs and produces clearer juice.
- Restores Crystallization: Yields stronger, uniform sugar crystals.
- Boosts Sugar Recovery: Minimizes sucrose losses in molasses.
- Cuts Energy Use: Ensures smoother evaporation and boiling processes.
Why Enzydex Stands Out
- Works effectively even at low dosages, making it cost-efficient.
- Active under typical mill juice conditions (pH 5–6, 50–60°C).
- Proven to reduce dextran levels by up to 70–80% in plant trials.
- Stable and reliable under industrial conditions, ensuring consistent performance.
- Can be combined with amylase for enhanced results in juice containing both dextran and starch.
Enzylase (Amylase) - Controlling Starch
What is Amylase?
Amylase is a hydrolytic enzyme that specifically targets starch, a polysaccharide composed of glucose units linked mainly by alpha-1,4 glycosidic bonds. While starch is a minor contaminant in sugarcane juice, it significantly increases juice viscosity, interferes with clarification, and reduces sugar crystallization efficiency.
Mechanism of Action
Amylase hydrolyzes alpha-1,4 linkages in starch, converting long polymer chains into smaller oligosaccharides, maltose, or glucose:

Commercial Formulation – Amylase Enzyme for Mills
Industrial amylase products are designed to work under typical mill juice conditions (pH 5–6, 50–60°C) and are stable in processing environments. When applied, amylase reduces both starch-induced viscosity and the overall polysaccharide load in juice, complementing dextranase action for optimal juice flow and sugar recovery.
Factory Benefits
- Reduces Juice Viscosity: Improves pumping, flow, and overall processing efficiency.
- Enhances Clarification: Smaller starch fragments settle efficiently, improving juice clarity.
- Improves Crystallization: Ensures uniform and stronger sugar crystals.
- Minimizes Energy and Chemical Use: Lower viscosity reduces steam consumption and chemical requirements.
- Supports Combined Enzymatic Treatment: Works synergistically with dextranase (Enzydex) for juice containing both dextran and starch.
Why Industrial Amylase Stands Out:
- Active at low dosages, providing cost-effective solutions.
- Stable under standard juice conditions, ensuring consistent performance.
- Proven to significantly reduce starch viscosity and improve overall sugar recovery.
- Enhances overall mill efficiency when integrated with dextranase treatment.
The Catalysts Advantage
At The Catalysts Group, we go beyond supplying enzymes. We partner with sugar mills to optimize dosage, timing, and application points to ensure maximum efficiency with minimum cost.
Our enzymatic portfolio for sugarcane processing is built on three pillars:
- Efficiency: Reducing viscosity and processing time.
- Recovery: Ensuring more sucrose reaches the final crystal.
- Profitability: Lowering energy, chemical, and operational costs.
With decades of expertise and global field trials, we have proven that enzymatic treatment with Enzydex and Enzylase delivers measurable improvements in recovery and quality.
Conclusion
Dextran is one of the most damaging contaminants in sugarcane processing. It forms quickly, spreads silently, and reduces both yield and quality. Left unchecked, it can cost factories millions in lost recovery and higher operational expenses.
But with modern enzymatic solutions, the challenge of dextran can be turned into an opportunity. By applying Enzydex and Enzylase from The Catalysts Group, sugar mills can fight back effectively—breaking down dextran, reducing starch problems, and unlocking the true value of every ton of cane.
Recent Posts
Bactoferm: Redefining Antimicrobial Protection in Grain and Molasses Fermentation
Fermentation is at the heart of grain- and molasses-based industries, driving the production of bioethanol, alcoholic beverages, starch derivatives, and other high-value products.
The Silent Yield Killer: Microbial Contamination in Grain Fermentation
Grain-based fermentation is one of the most vital industrial processes in the world today. From producing fuel ethanol that powers vehicles, to alcoholic beverages that drive the brewery industry
DON’T WAIT, ELIMINATE: TACKLING MICROBIAL CHALLENGES IN SUGARCANE PROCESSING
Sugarcane processing is a race against time. Once cane is cut, its juice becomes a nutrient-rich medium where microbial growth takes off rapidly.
Catalysts Connect
Keep up to date with our latest news and analysis by subscribing to our regular magazine and newsletter
Post a comment
Your email address will not be published.